728x90
반응형

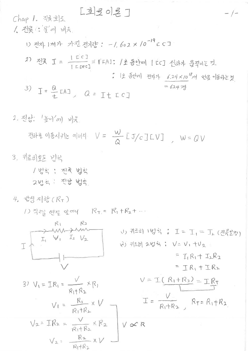
전기기사 필기 요약분입니다.
5과목중에 3과목 밖에 없네요...ㅠㅠㅠ
전기기사 준비하면서 정리한 노트입니다.
지금은 기억이 안나니 질문에 답할순 없을겁니다....ㅎㅎㅎ
전기기사필기-회로이론.pdf
1.42MB
전기기사필기-전기자기학.pdf
1.46MB
전기기사필기-제어공학.pdf
0.61MB
728x90
반응형
'시설,전기,기계,소방 이야기' 카테고리의 다른 글
| 에너지관리기사 실기 암기 요약 (15) | 2024.11.04 |
|---|---|
| 에너지관리기사 실기 공식 요약 (2) | 2024.08.16 |
| 에너지관리기사 필기 요약 (3) | 2024.08.13 |
| 정류기반 배터리 역할 및 교체 (4) | 2024.06.20 |
| 파이 ø 뜻? (2) | 2024.02.13 |